Oral Abstracts Session
Virtual Recording
Daniel Atkinson, MSc, BA
DPhil Student
University of Oxford
Oxford, England, United Kingdom
Daniel Atkinson, MSc, BA
DPhil Student
University of Oxford
Oxford, England, United Kingdom
Margarita Gorodezky, PhD
Clinical Scientist
GE HealthCare
Munich, Bayern, Germany
James Grist, PhD, BSc
Principal Investigator
University of Oxford, United Kingdom
Elizabeth M. Tunnicliffe, PhD, BSc
Postdoctoral Researcher
Oxford Centre for Clinical Magnetic Resonance Research, England, United Kingdom
Stephen Jermy, MSc
Research Fellow
University of Cape Town
Cape Town, Western Cape, South Africa
Patricia Lan, PhD
Scientist
GE HealthCare, United States
Xinzeng Wang, PhD
Senior Scientist
GE Healthcare
Houston, Texas, United States
Rebecca Mills, MSc, BSc
Lead Technologist
OCMR
Oxford, England, United Kingdom
Betty Raman, MBBS FRACP DPhil
Associate Professor of Cardiovascular Medicine
University of Oxford
Oxford, England, United Kingdom
Vanessa M. Ferreira, MD, PhD, FSCMR
Professor of Cardiovascular Medicine
University of Oxford
Oxford, England, United Kingdom
Damian Tyler, PhD
Director of MR Physics
Oxford Centre for Magnetic Resonance Research, United Kingdom
Peter Gatehouse, PhD
Research assistant
Oxford Centre for Clinical Magnetic Resonance Research (OCMR)
Oxford, England, United Kingdom
Stefan K. Piechnik, PhD, FSCMR
Professor of Biomedical Imaging
University of Oxford
Oxford, England, United Kingdom
| Normal subjects (n=5) | MD µm2/ms | FA | abs(E2A) | |
| DL On | 6 averages | 1.54±0.17 | 0.41±0.10 | 45±25° |
| No DL | 8 averages | 1.55±0.17 | 0.40±0.10 | 46±27° |
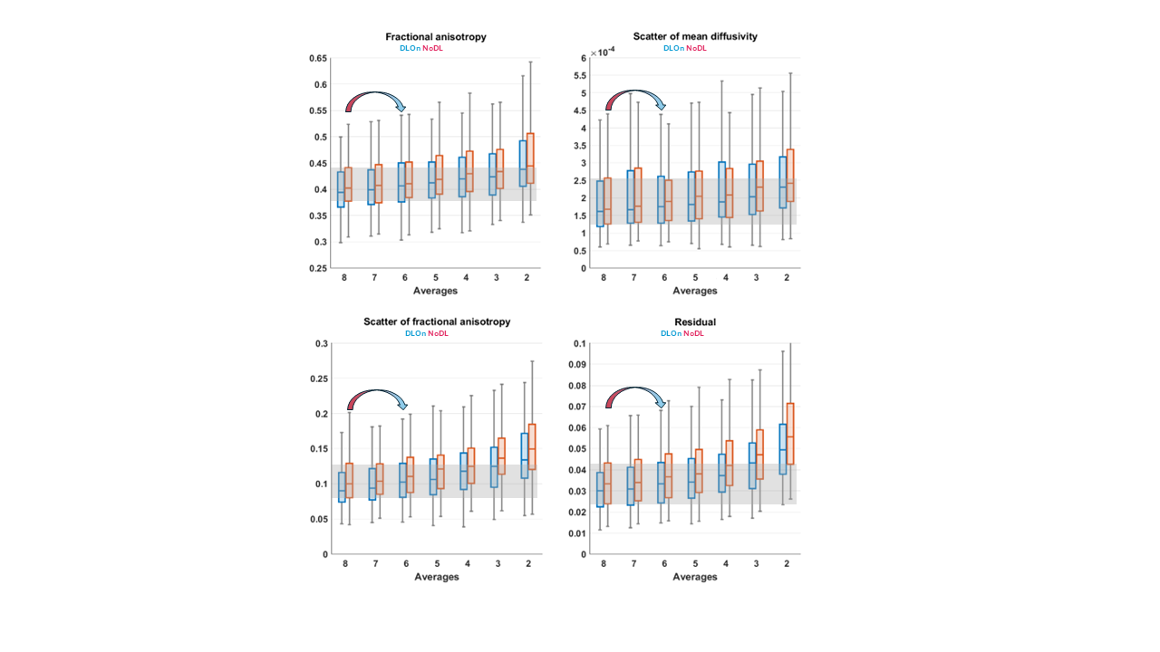
Fig.2 The impacts of reduced averaging (i.e. shorter scanning time) combined with ReconDL. The grey horizontal bands highlight the standard ranges of the 8 average NoDL scan. Curved arrows indicate the observed ReconDL’s potential to reduce scan time by approximately 25% while preserving the DTI measurement properties.
Fig.3 Comparison of diffusion outputs showing equivalence of 6-averages (DL On) versus the reference 8 averages without ReconDL.