Rapid Fire Session
Richard Hickstein, MD
Physician and Researcher
Charité – Universitätsmedizin Berlin
Berlin, Berlin, Germany
Richard Hickstein, MD
Physician and Researcher
Charité – Universitätsmedizin Berlin
Berlin, Berlin, Germany
Maximilian Fenski, MD
MD
Charité Berlin
Berlin, Berlin, Germany
Leo D Krüger
Medical Student
Charité Universitätsmedizin Berlin
Berlin, Berlin, Germany
Thomas Grandy, MD
Cardiac Electrophysiologist
Helios Klinikum Berlin Buch, Department of Cardiology and Nephrology, Germany
Clemens Ammann, MD
Physician
Charité – Universitätsmedizin Berlin
Berlin, Berlin, Germany
Thomas C. R Hadler, PhD
Postgraduate
Charité - Universitätsmedizin Berlin
Berlin, Berlin, Germany
André Rudolph, MD
Consultant Cardiologist
HELIOS Hospital Berlin-Buch, Germany
Michael Wiedemann, MD
Consultant Cardiologist
HELIOS Hospital Berlin-Buch, Germany
Jeanette Schulz-Menger, MD
Head Working Group Cardiac MRI
Charité/ University Medicine Berlin and Helios
Berlin, Berlin, Germany
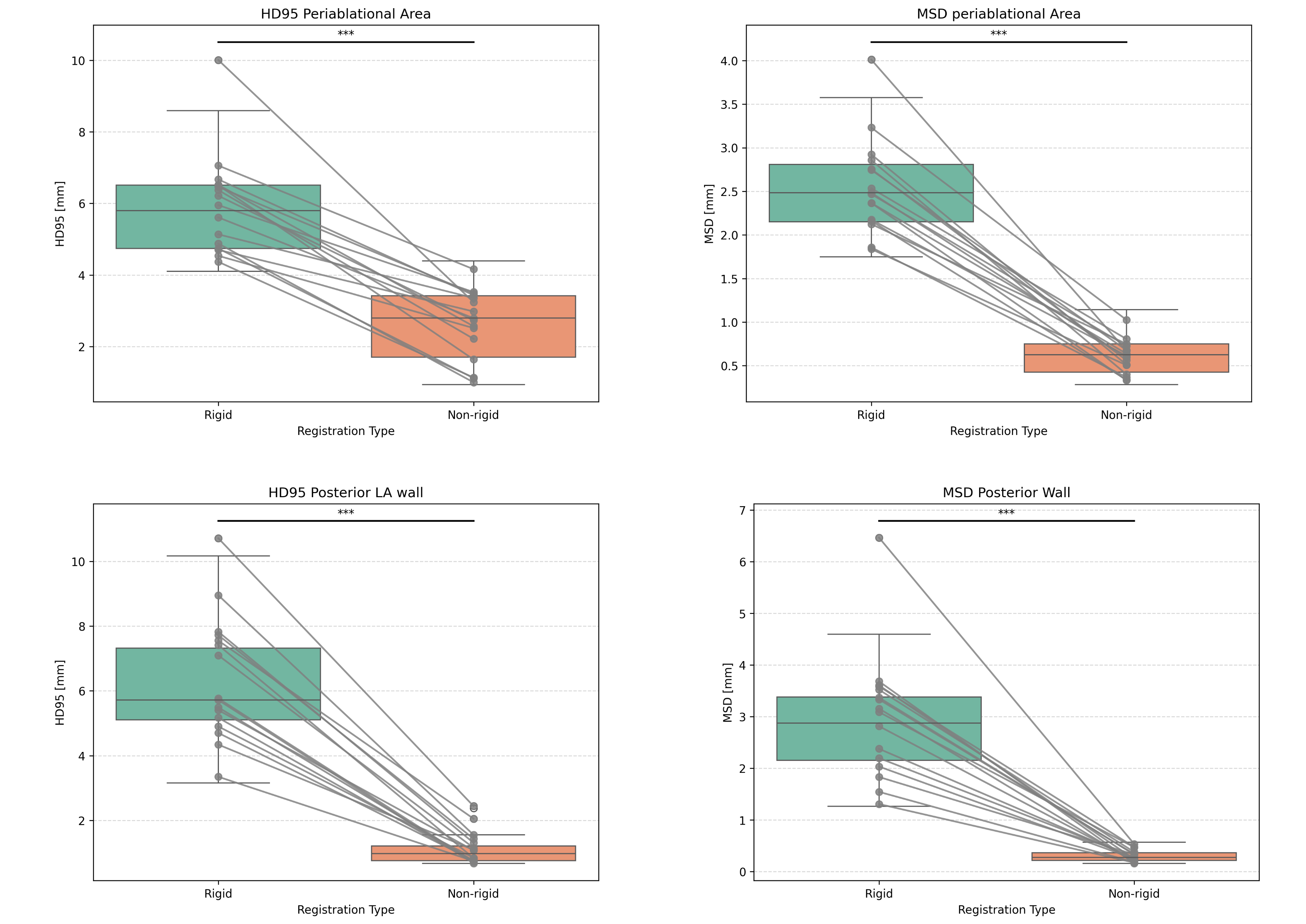
Figure 2: Symmetric 95% Hausdorff Distance (HD95) and Mean Surface Distance (MSD) for the rigid and non-rigid surface registration steps of the pipeline. The non-rigid surface deformation led to a significant reduction in HD95 and MSD in both the periablational area and the posterior left atrial wall when compared to global rigid registration alone (all p<0.001 indicated by ***). Boxplots represent median (solid line inside the box), interquartile range (IQR, box) and Q1 - 1.5*IQR or Q3 + 1.5*IQR (whiskers).
Figure 3: Clinical application of the pipeline: (A) Spatial correlation of ablation sites (dark red points) from electroanatomic mapping (EAM) with isotropic Late Gadolinium Enhancement (LGE) for regionalized quantitative assessment of ablation-induced fibrosis (periablational area displayed solid, remote left atrial (LA) wall displayed opaque, image intensity ratios >1.34 marked in red, image intensity ratios >1.2 marked in yellow). Note that for quantification of scar amount in the remote (non-ablated) LA wall, pulmonary veins, LA appendage and mitral valve were excluded from the quantification. (B) At 6 months post pulmonary vein isolation (PVI) an increase in fibrotic substrate amount was observed predominantly in the periablational area. No significant change (p=0.375 Wilcoxon signed-rank test) was observed in the remote LA wall. Boxplots represent median (solid line inside the box), interquartile range (IQR, box) and Q1 - 1.5*IQR or Q3 + 1.5*IQR (whiskers).