Rapid Fire Session
William Dong, BEng
Graduate Research Assistant
Northwestern University
Chicago, Illinois, United States
Sebastian Cohn
MD/PhD Student
Northwestern University
Chicago, Illinois, United States
Elizabeth Weiss, PhD
MD/PhD student
Northwestern University
Chicago, Illinois, United States
Christopher Mehta, MD
Cardiac Surgeon
Northwestern University, United States
Michael Markl, PhD
Professor
Northwestern University Feinberg School of Medicine
Chicago, Illinois, United States
Bradley D. Allen, MD, MSc, FSCMR
Associate Professor, Cardiovascular and Thoracic Imaging
Northwestern University
Chicago, Illinois, United States
Subjects | Adverse Outcome (n=6) | No Adverse Outcome (n=6) | p-value |
Age (mean ± SD, yrs.) | 55.7 ± 4.6 | 58.8 ± 17.3 | 0.678 |
Height (mean ± SD, in.) | 71.7 ± 5.4 | 66.5 ± 3.6 | 0.081 |
Weight (mean ± SD, lbs.) | 201.8 ± 67.6 | 182.5 ± 44.1 | 0.570 |
BMI (mean ± SD, kg/m²) | 27.0 ± 4.5 | 29.2 ± 7.8 | 0.572 |
Sex | 4M/2F | 2M/4F | 0.567 |
Diagnosis | 4 De Novo Type B, 2 Repaired Type A | 1 De Novo Type B, 5 Repaired Type A | 0.242 |
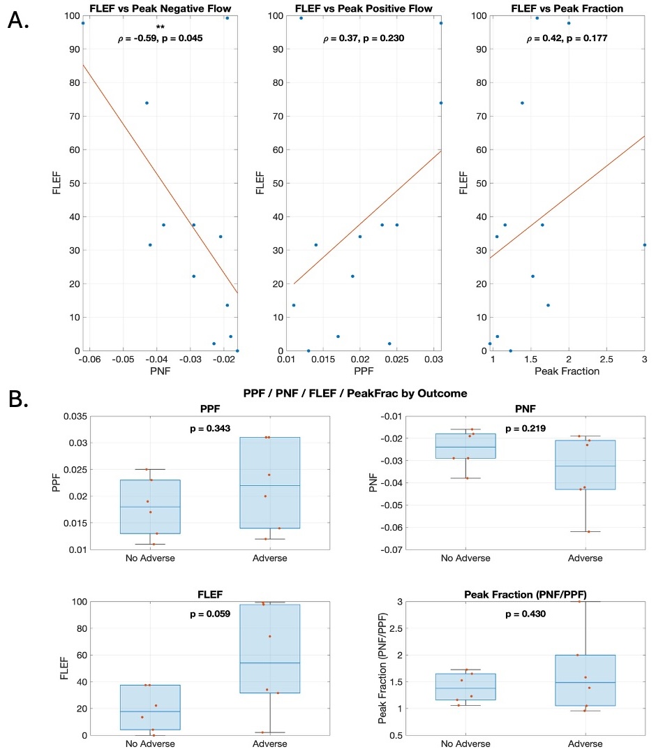
Figure 2: Relationships of orthogonal‐flow metrics with FLEF and clinical outcome. Top (left–middle–right): patient-level scatter plots of FLEF vs PNF, FLEF vs PPF, and FLEF vs Peak Fraction (PNF/PPF). Solid line = least-squares fit; annotations report Spearman ρ and p. Bottom (four panels): group comparisons (adverse vs no adverse) for PPF, PNF, FLEF, and Peak Fraction using two-sample t-tests (p shown on each panel). Boxes show median and IQR; whiskers indicate range; points are individual patients. Units: PPF/PNF in ml/frame (positive = FL to TL, negative = TL to FL); FLEF = %..jpg)