Oral Abstracts Session
Virtual Recording
Morne F. Kahts, MD, MBA
Radiology Registrar
Groote Schuur Hospital & University of Cape Town
Cape Town, Western Cape, South Africa
Morne F. Kahts, MD, MBA
Radiology Registrar
Groote Schuur Hospital & University of Cape Town
Cape Town, Western Cape, South Africa
Mothabisi Nyathi, MSc
Statistician
University of Cape Town, South Africa
Lidia Szczepaniak, PhD
Consultant
MRS Consulting in Biomedical Research
Albuquerque, New Mexico, United States
Stephen Jermy, MSc
Research Fellow
University of Cape Town
Cape Town, Western Cape, South Africa
Petronella P. Samuels, BSc
University of Cape Town
Cape Town, Western Cape, South Africa
Matthew Feinstein, MD
Northwestern University, United States
Justine Legbedze, MPH
Lead Clinical Research Coordinator
Ann & Robert H. Lurie Children's Hospital of Chicago, United States
Nana Akua Asafu-Agyei, MD, MPH
Research Officer
University of Cape Town, South Africa
Emma Carkeek, MD, MPH
Research Officer
University of Cape Town, South Africa
Nomawethu Jele, BN
Research Nurse
University of Cape Town, South Africa
Grace McComsey, MD
Director, Clinical and Translational Science Institute
Case Western Reserve University, United States
Lauren Bonner, PhD
Associated Professor
Northwestern Medicine, United States
Landon Myer, MD, PhD
Professor and Head of Division: Epidemiology & Biostatistics
University of Cape Town, South Africa
Heather Zar, MD, PhD
Professor & Head of the Department of Paediatrics and Child Health
University of Cape Town, South Africa
Jennifer Jao, MD, MPH
Professor of Pediatrics and Medicine
Northwestern Medicine, United States
Ntobeko A. B. Ntusi, MD DPhil
Cape Town, Western Cape, South Africa
| Cardiac Parameters | Males | Females | p-value |
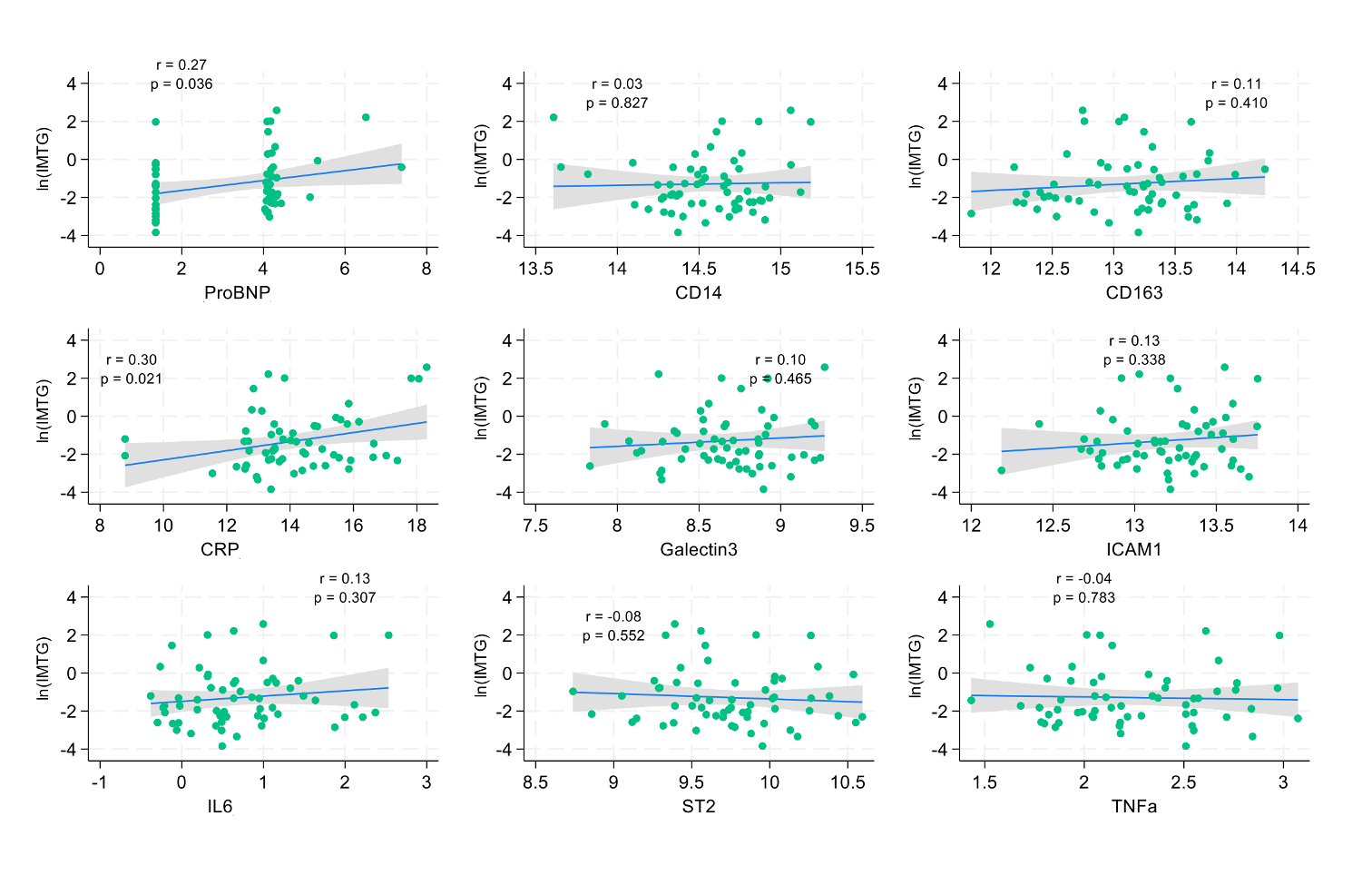
| Myocardial lipid content (%) | 0.13 (0.07-0.29) | 0.34 (0.15-1.33) | 0.003 |
| Myocardial lipid > 0.5% (N (%)) | 6 (16.7) | 11 (42.3) | 0.026 |
| Mean native T1 map time (ms) | 1200.8 (27.7) | 1233.8 (32.3) | < 0.001 |
| Mean extracellular volume (%) | 27 (26-28) | 29 (28-30) | 0.001 |
Males | Females | p-value | |
| Nf40</span> | Nf32</span> | |
Age (years) | 18.23 (16.77-19.64) | 17.55 (16.36-19.29) | 0.29 |
Family history of CVD | 1 (2.56) | 2 (6.25) | 0.44 |
Tobacco use | 4 (10.00) | 2 (6.25) | 0.57 |
BMI (kg/m2) | 19.83 (18.80-22.16) | 23.61 (20.19-26.28) | 0.002 |
BSA (m2) | 1.60 (1.49-1.69) | 1.53 (1.41-1.63) | 0.14 |
Waist-to-height ratio | 0.43 (0.41-0.45) | 0.48 (0.45-0.52) | < 0.001 |
HOMA | 2.44 (1.62-3.81) | 3.82 (2.28-5.91) | 0.071 |
Total cholesterol (mmol/L) | 137.84 (115.44-159.46) | 137.84 (120.46-166.02) | 0.63 |
LDL-cholesterol (mmol/L) | 76.83 (52.12-88.03) | 68.34 (61.00-97.30) | 0.55 |
HDL-cholesterol (mmol/L) | 46.72 (40.54-50.97) | 50.39 (34.75-56.76) | 0.84 |
Triglycerides (mmol/L) | 72.57 (54.87-97.35) | 68.58 (52.21-95.58) | 0.8 |
CD4 Count | |||
< 200 | 1 (2.50) | 4 (13.33) | 0.17 |
200 – 499 | 14 (35.00) | 7 (23.33) | |
> 500 | 25 (62.50) | 19 (63.33) | |
HIV Viral Load (log) | 3.91 (3.66-4.05) | 3.91 (3.66-9.80) | 0.27 |
Age at initiation of ART (years) | 5.37 (2.08-7.64) | 3.74 (1.22-5.32) | 0.087 |
Duration of ART (years) | 13.58 (10.33-15.44) | 14.66 (12.05-15.87) | 0.16 |
On INSTI ART regimen | 12 (30.00) | 8 (25.00) | 0.64 |
.png)