Rapid Fire Session
Amir Hossein Behnoush, MD, MPH
Postdoctoral Scholar
Northwestern University
Chicago, Illinois, United States
Amir Hossein Behnoush, MD, MPH
Postdoctoral Scholar
Northwestern University
Chicago, Illinois, United States
M. Vinayaga Moorthy, PhD
Senior Researcher
Harvard Medical School, United States
Nancy Cook, MSc
Professor
Harvard Medical School, United States
Julie Pester, BA
Project Manager
Harvard Medical School, United States
Edwin Wu, MD
Cardiologist
Northwestern University
Chicago, Illinois, United States
Brandon Benefield, MSc
Research Lab Manager
Northwestern University
CHICAGO, Illinois, United States
Alan Kadish, MD
Professor
Touro College and University System, United States
Christine M. Albert, MD, MPH
Chair and Professor
Cedars-Sinai Medical Center, United States
Daniel C. Lee, MD
Professor of Medicine and Radiology
Northwestern University Feinberg School of Medicine
Chicago, Illinois, United States
Figure 2. Cumulative incidence curves for SAE outcomes adjusted for age and sex, comparing: A) high vs. low LVEF, B) high vs. low infarct mass, C) high vs low LVEF and infarct mass, and D) high vs. low LV mass
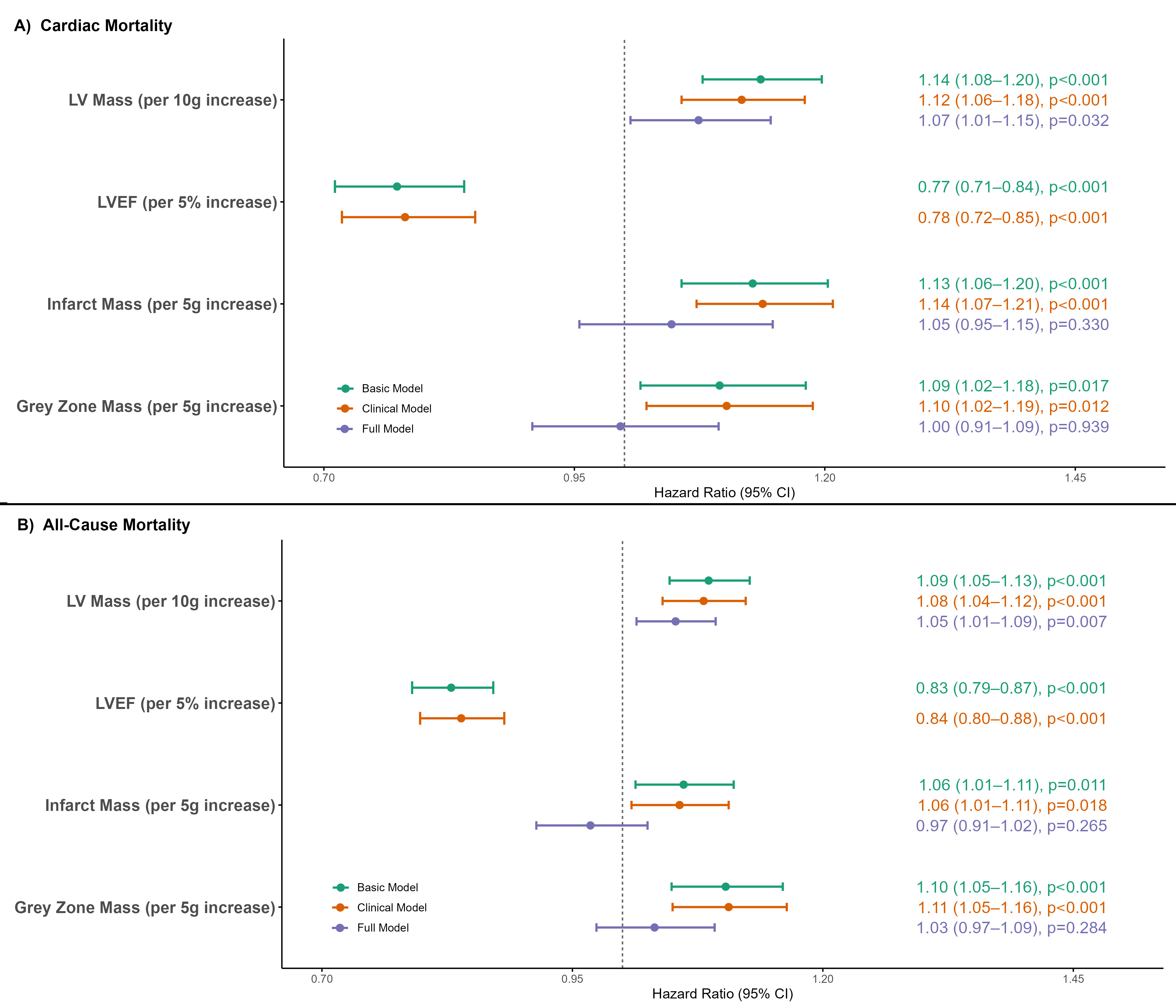
Figure 3. Forest plots showing the associations between CMR metrics and: A) cardiac mortality, and B) all-cause mortality