Rapid Fire Session
Yu Kang, MD, PhD
Clinical Inst HS
The Ohio State University
Columbus, Ohio, United States
Yu Kang, MD, PhD
Clinical Inst HS
The Ohio State University
Columbus, Ohio, United States
Yu Kang, MD, PhD
Clinical Inst HS
The Ohio State University
Columbus, Ohio, United States
Christopher D. Crabtree, PhD, MSc, BSc
Research Scientist
The Ohio State University
Columbus, Ohio, United States
Yingmin Liu, PhD
Research Engineer
The Ohio State University
Columbus, Ohio, United States
Orlando P. Simonetti, PhD, FSCMR
Professor
The Ohio State University
Columbus, Ohio, United States
Rizwan Ahmad, PhD
Professor
The Ohio State University
Columbus, Ohio, United States
Yuchi Han, MD, MSc, FSCMR
Professor
The Ohio State University
Columbus, Ohio, United States
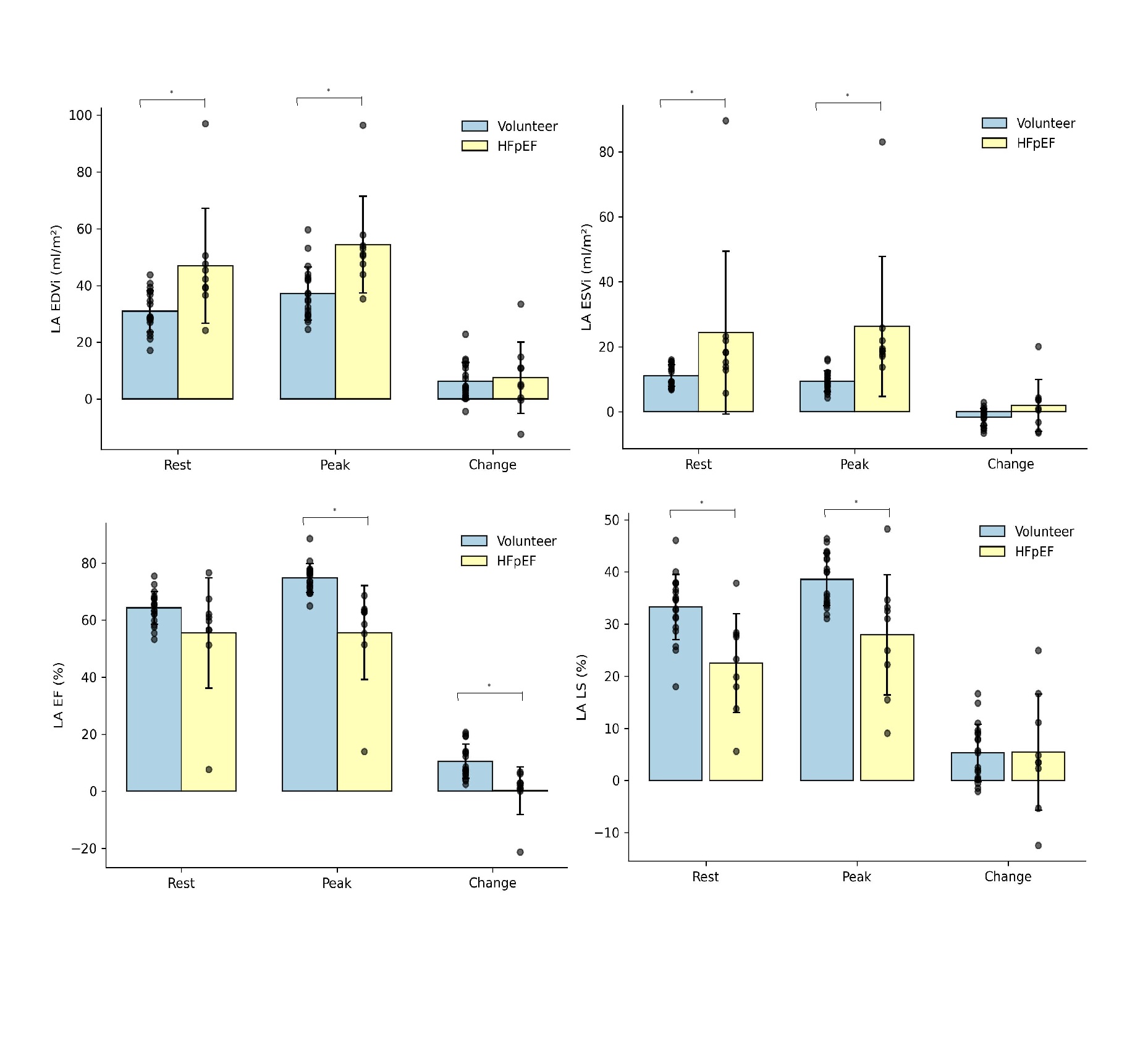
| Volunteer (n=19) | HFpEF (n=9) | p value |
Age, y | 40±15 | 67±8 | < 0.001 |
Male, n(%) | 9 (47.3) | 4 (44.4) | 0.604 |
BMI, kg/m2 | 24.5±4.4 | 28.0±3.2 | 0.040 |
Exercise load (watts) | 93±25 | 42±26 | < 0.001 |
Baseline LAEDVi (ml/m2) | 31±7 | 47±20 | 0.005 |
Baseline LAESVi ml/m2 | 11±3 | 24±25 | 0.029 |
Baseline LAEF(%) | 64±6 | 55±19 | 0.075 |
33.3±6.3 | 22.5±9.4 | 0.001 | |
Peak LAEDVi (ml/m2) | 37±9* | 54±17 | 0.002 |
Peak LAESVi (ml/m2) | 9±3* | 26±22 | 0.002 |
Peak LAEF (%) | 75±5* | 56±16 | < 0.001 |
Peak LA LS (%) | 38.6±5.1* | 27.9±11.5 | 0.002 |
Change of LAEDVi (ml/m2) | 6.3±6.6 | 7.5±12.6 | 0.741 |
Change of LAESVi (ml/m2) | -1.7±2.7 | 1.9±7.9 | 0.083 |
Change of LAEF (%) | 10.5±6.0 | 0.2±8.4 | < 0.001 |
Change of LA LS (%) | 5.3±5.5 | 5.5±11.1 | 0.954 |
