Rapid Fire Session
Erik Hedström, MD, PhD
Adjunct professor
Lund University and Skåne University Hospital, Lund
Lund, Skane Lan, Sweden
Erik Hedström, MD, PhD
Adjunct professor
Lund University and Skåne University Hospital, Lund
Lund, Skane Lan, Sweden
Andreas Persson, MD
MD
Lund University, Sweden
Pia Sjöberg, MD, PhD
MD, PhD
Lund University and Skåne University Hospital, Lund, Sweden
Lund, Skane Lan, Sweden
Jonas Liefke, MD, MSc
M.D.
Lund University, Skåne University Hospital, Lund, Sweden
Lund, Skane Lan, Sweden
David Ley, MD, PhD
Professor
Lund University, Skåne University Hospital, Lund, Sweden
Lund, Skane Lan, Sweden
Håkan Arheden, MD, PhD
MD, PhD, Professor
Lund University and Skåne University Hospital, Lund, Sweden
Lund, Sweden
Eva Morsing, MD, PhD
MD, PhD
Lund University, Sweden
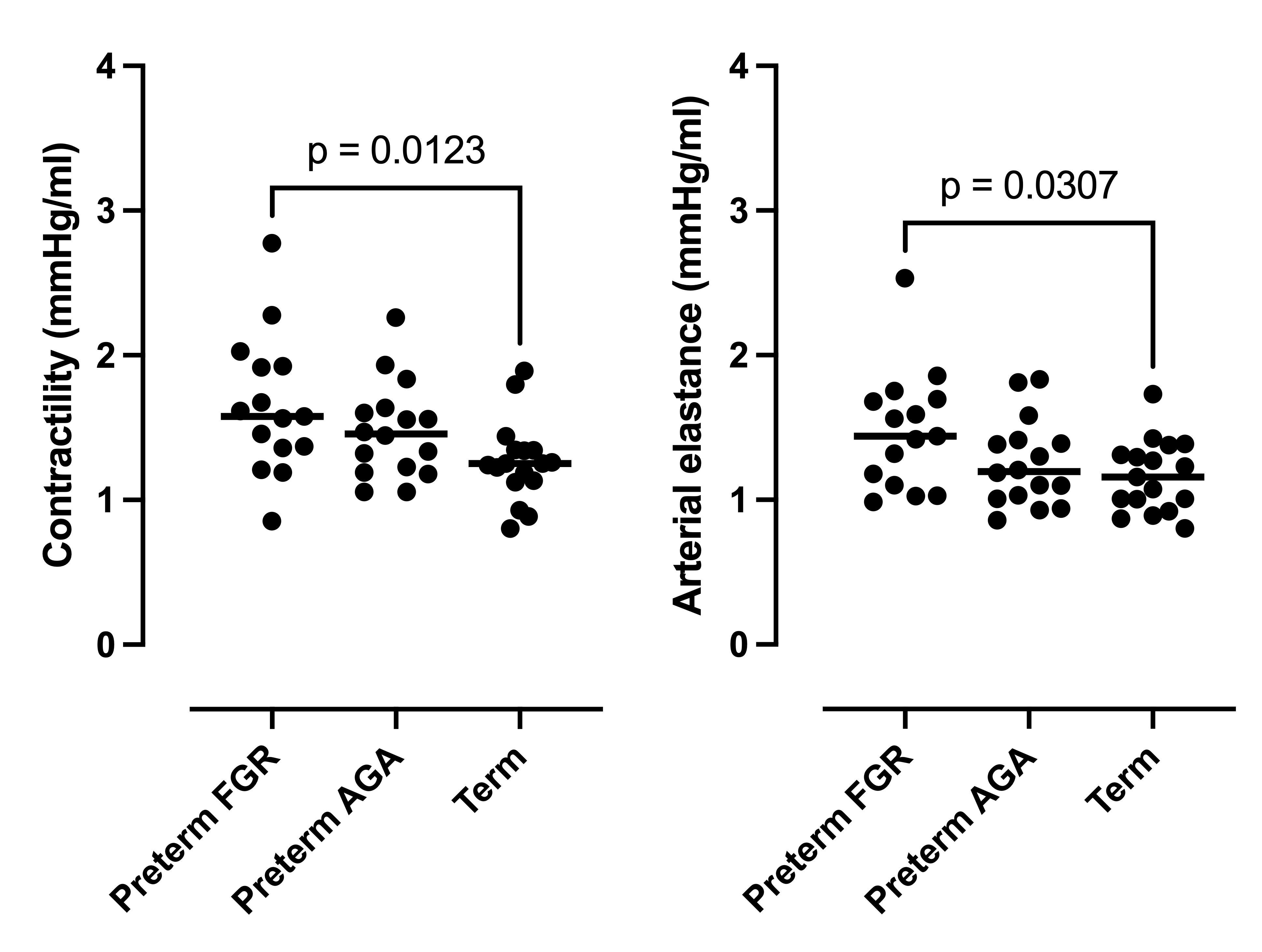
| Preterm FGR | Preterm AGA | Term |
Sex (boys) | 6 (60%) | 6 (60%) | 5 (50%) |
Age (year) | 15 (14 – 16) | 15 (13 – 16) | 15 (13 – 16) |
Height (cm) | 160 (150 – 180) | 171.5 (157 – 182.5) | 175.5 (159.5 – 189) |
Weight (kg) | 48 (38 - 90) | 57 (39 – 74) | 57.5 (44 – 89) |
BSA | 1.44 (1.26 – 2.12) | 1.66 (1.33 – 1.94) | 1.68 (1.40 – 2.16) |
SBP (mmHg) | 105.8 (101–122.5) | 100.3 (93.5 – 117) | 104.5 (89 – 129.5) |
DBP (mmHg) | 56.5 (43.5 – 68.5) | 53 (45 – 58) | 49.5 (44.5 – 80) |
EF (%) | 56.9 (50 – 61.3) | 58.1 (53.1 – 61.7) | 53.6 (45.5 – 61.8) |
EDV (ml) | 113.6 (73.6 – 174.9) | 134.1 (94.7 – 176.5) | 144.0 (94.5 – 214.8) |
ESV (ml) | 52.7 (32.3 – 76.6) | 53.9 (43.4 – 73.8) | 71.3 (44.6 – 99.9) |
SV (ml) | 66.9 (41.3 – 98.3) | 76.1 (51.3 – 102.8) | 81.5 (50.0 – 118.0) |
Heart rate (BPM) | 80.5 (64 – 94) | 74.5 (65 – 85) | 66.5 (52 – 81) |
Cardiac Output (L/min) | 5.7 (3.7 – 7.9) | 6.0 (4.1 – 8.0) | 5.4 (3.6 – 9.3) |
Cardiac index (L/min/m2) | 3.8 (2.6 – 4.6) | 3.4 (2.7 – 4.5) | 3.0 (2.6 – 4.6) |
