Rapid Fire Session
Robert J. Holtackers, PhD
MR Physicist & Assistant Professor
Maastricht University Medical Centre
Maastricht, Limburg, Netherlands
Robert J. Holtackers, PhD
MR Physicist & Assistant Professor
Maastricht University Medical Centre
Maastricht, Limburg, Netherlands
Augustin C. Ogier, PhD
Post-doctoral fellow
Lausanne University Hospital (CHUV) and University of Lausanne (UNIL)
Lausanne, Vaud, Switzerland
Estelle Tenisch, MD
Physician
University Hospital (CHUV) and University of Lausanne (UNIL), Switzerland
Isabel Montón Quesada, MSc
PhD student
Lausanne University Hospital (CHUV)
Lausanne, Vaud, Switzerland
Christopher W. Roy, PhD
Lecturer
University Hospital (CHUV) and University of Lausanne (UNIL)
Lausanne, Vaud, Switzerland
Jerome Yerly, PhD
Research scientist
University Hospital (CHUV) and University of Lausanne (UNIL), Vaud, Switzerland
Milan Prsa, MD
Cardiologist
University Hospital (CHUV) and University of Lausanne (UNIL), Switzerland
Matthias Stuber, PhD
Professor/Director
CIBM/CHUV/UNIL
Lausanne, Switzerland
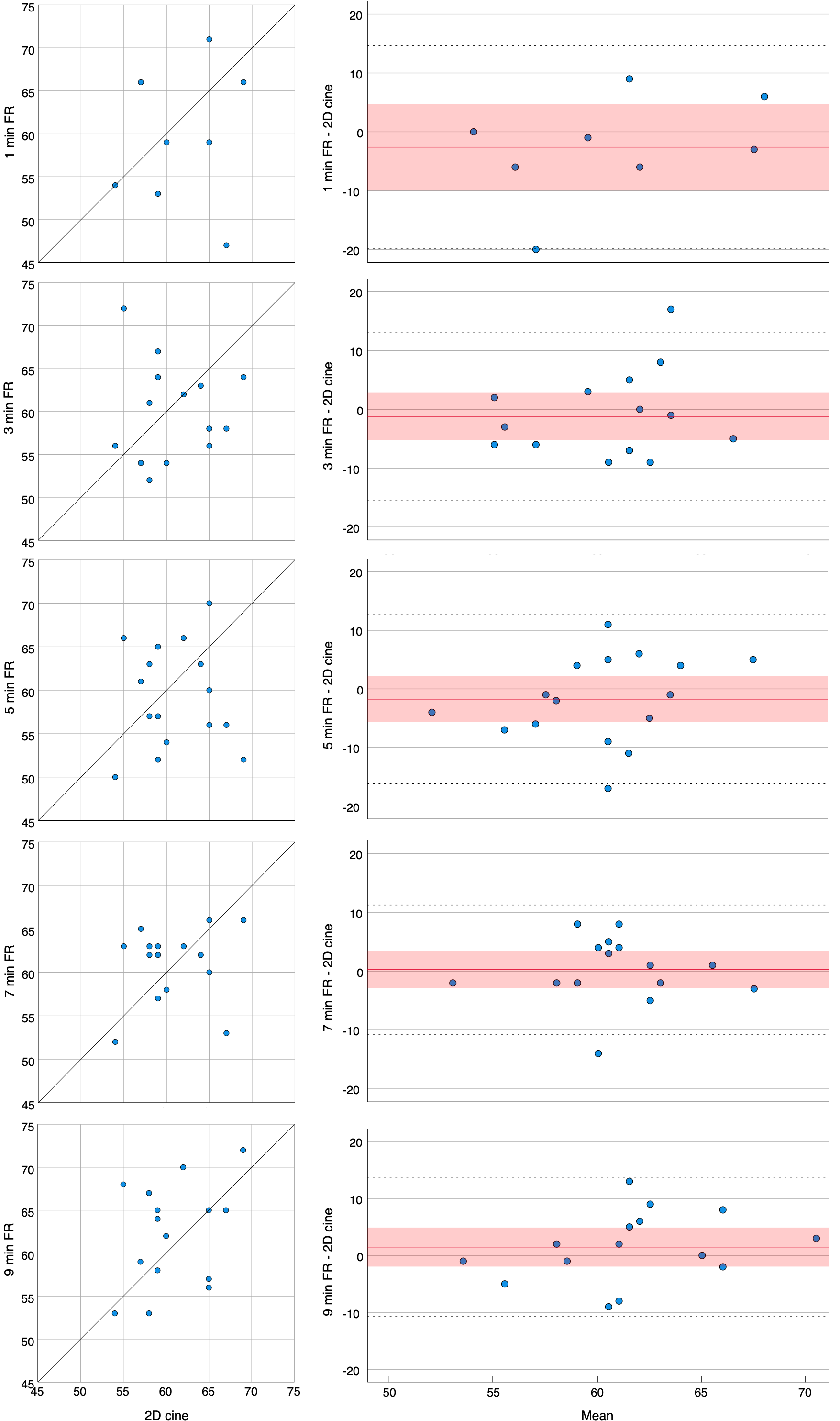
Correlation plots and Bland–Altman analysis of the left-ventricular ejection fractions (in %) as derived from 5D free-running imaging using various durations (1, 3, 5, 7 and 9 min) at 0.55T compared to reference standard 2D breath-hold cine imaging at 1.5T. The solid red line and red shaded area in each Bland–Altman plot indicate the bias with its 95% confidence interval, while the black dotted lines indicate the limits of agreement. All axes indicate absolute percentages..png)