Rapid Fire Session
Jessica Vanina Ortiz, BSc
PhD Candidate
Universidade do Estado do Amazonas
Manaus, Amazonas, Brazil
Jessica Vanina Ortiz, BSc
PhD Candidate
Universidade do Estado do Amazonas
Manaus, Amazonas, Brazil
Débora Raysa Teixeira De Sousa, PhD, MSc, BSc
Researcher
Fundação de Medicina Tropical Dr. Heitor Vieira Dourado, Brazil
Fernanda Pessoa Gallinaro, PhD, MSc, BSc
Professor
Universidade Cidade de São Paulo, Brazil
Nádelly Karoline Martins Derze, BSc
Master Candidate
Universidade do Estado do Amazonas, Brazil
Matheus Martins Monteiro, MSc, BSc
Research Assistant
Hospital Beneficência Portuguesa de São Paulo, Brazil
Gabriela Maciel Alencar, MSc, BSc
PhD Candidate
Universidade do Estado do Amazonas, Brazil
Kátia do Nascimento Couceiro, MD, PhD, MSc
Professor
Universidade do Estado do Amazonas, Brazil
Carlos Rochitte, MD, PhD, FSCMR
Associate Professor of Cardiology, Academic Coordinator of Cardiovascular Magnetic Resonance and Computed Tomography sector, and Medical Director of the Research Center at Heart Institute, InCor, University of São Paulo Medical School
Cardiovascular Magnetic Resonance and Computed Tomography Director at HCOR
Senior Medical Leader at Alta Excelência Diagnóstica, DASA, São Paulo
InCor - Univ. of São Paulo / HCOR - Heart Hospital
InCor - Univ. of São Paulo
São Paulo, Sao Paulo, Brazil
Maria das Graças Vale Barbosa Guerra, PhD, MSc, BSc
Professor
Universidade do Estado do Amazonas, Brazil
Jorge Augusto de Oliveira Guerra, MD, PhD, MSc
Professor
Universidade do Estado do Amazonas, Brazil
Fabio Fernandes, MD, PhD
Heart Institute (InCor), University of Sao Paulo, Brazil
João Marcos Bemfica Barbosa Ferreira, MD, PhD
Professor
Universidade do Estado do Amazonas, Brazil
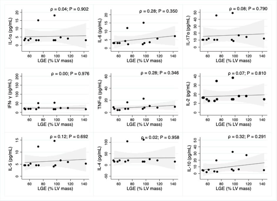
Figure 2 – Pearson correlation (ρ) between LGE (% LV mass) and serum levels of cytokines in the post-treatment group.
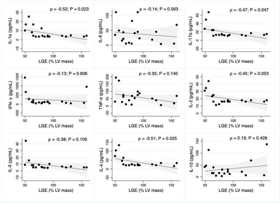
Figure 3 – Pearson correlation (ρ) between late enhancement (% LV mass) and serum Gal-3 levels in the pre-treatment group (A) and in the post-treatment group (B). 