Early Career Award Session
Virtual Recording
Masafumi Takafuji, MD, PhD
Clinical Research Fellow
Leeds Institute of Cardiovascular and Metabolic Medicine
Leeds, England, United Kingdom
Masafumi Takafuji, MD, PhD
Clinical Research Fellow
Leeds Institute of Cardiovascular and Metabolic Medicine
Leeds, England, United Kingdom
Thomas Anderton, MB
CRF
LICAMM
Leeds, England, United Kingdom
Michelle Gibbs
Medical Student
University of Leeds, England, United Kingdom
Ching-Hui Sia, MD
Dr
Leeds Institute of Cardiovascular and Metabolic Medicine, United Kingdom
Bradley Chambers
Clinical Research Fellow
University of Leeds
Harewood, England, United Kingdom
Maryum Farooq, MB
Research Fellow
Leeds Institute of Cardiovascular and Metabolic Medicine, University of Leeds
Leeds, England, United Kingdom
Chin Soo, MB
CRF
LICAMM
Leeds, England, United Kingdom
Mehak Asad, MD, MPH
Clinical research fellow
University of Leeds, Multidisciplinary Cardiovascular Research Centre and Biomedical Imaging Science Department, Leeds Institute of Cardiovascular and Metabolic Medicine, LS2 9JT, United Kingdom
Leeds, England, United Kingdom
May Lwin, MD
Clinical Research Fellow
University of Leeds
Leeds, England, United Kingdom
Erica Dall'Armellina, PhD
Associate Professor and Honorary Consultant Cardiologist
University of Leeds, England, United Kingdom
John Greenwood, MD, PhD, FSCMR
Director
Baker Heart and Diabetes Institute
Melbourne, Victoria, Australia
Pankaj Garg, MD, PhD
Consultant Clinical Associate Professor
University of East Anglia, United Kingdom
Peter Kellman, PhD
Senior Scientist
National Institutes of Health
Bethesda, Maryland, United States
Peter P. Swoboda, PhD
Consultant Cardiologist
Leeds Institute of Cardiovascular and Metabolic Medicine
Leeds, England, United Kingdom
Sven Plein, MD, PhD
Professor of Cardiology
Leeds Institute of Cardiovascular and Metabolic Medicine
Leeds, England, United Kingdom
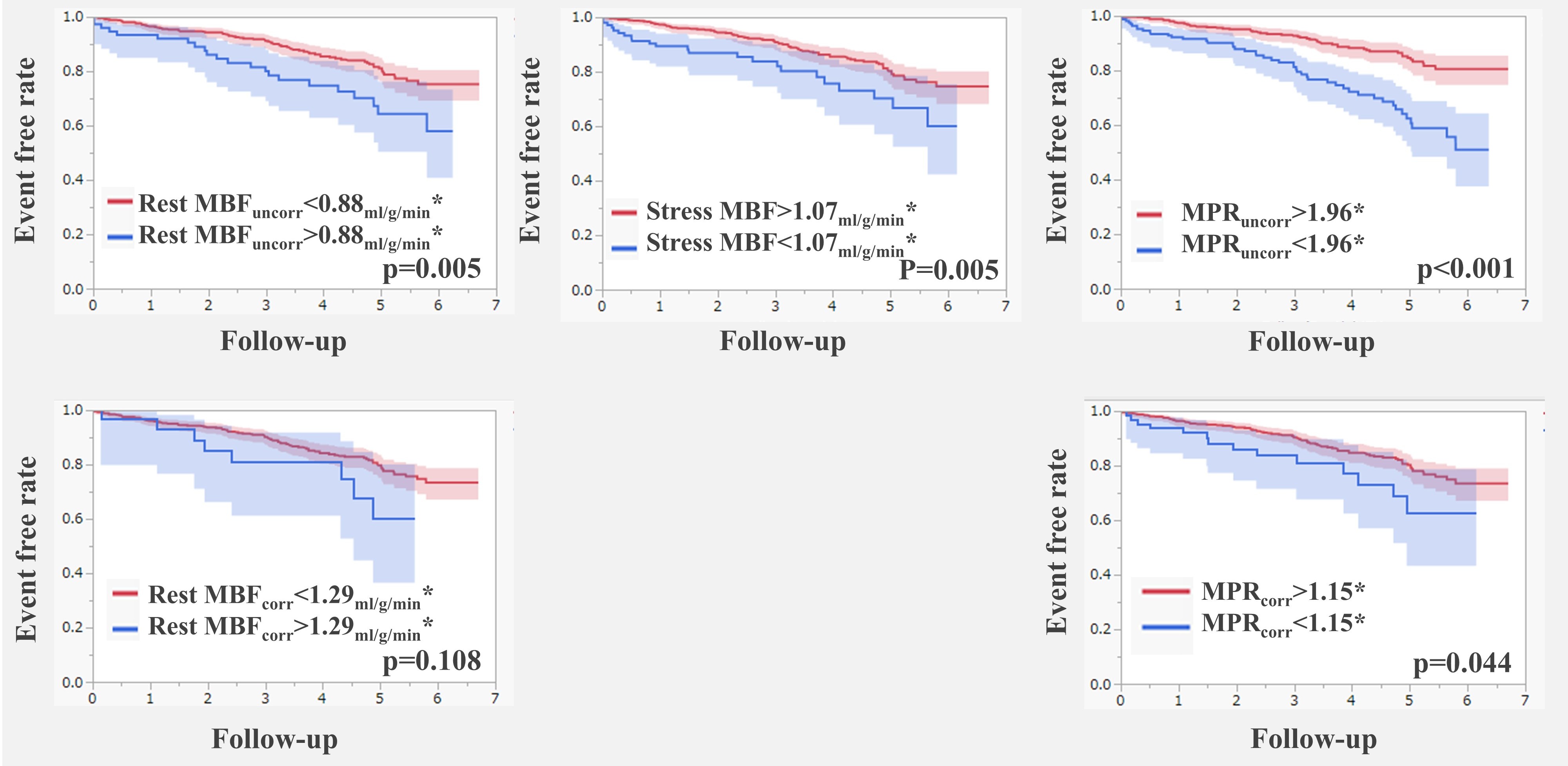
Variable, median (IQR) | Heart failure patients with event | Heart failure patients without event | Healthy volunteers | p** |
Rest MBFuncorr, mL/g/min | 0.70 (0.58–0.87)*† | 0.61 (0.52–0.73)* | 0.57 (0.48–0.68) | < 0.001 |
Rest MBFcorr, mL/g/min | 0.77 (0.64–0.97)* | 0.73 (0.61–0.92)* | 0.92 (0.78–1.06) | < 0.001 |
Rest RPP, bpm×mmHg | 9006 (7245–10952)*† | 8255 (6964–9773)* | 6336 (5518–7403) | < 0.001 |
Stress MBF, mL/g/min | 1.48 (1.12–1.93)* | 1.57 (1.25–1.95)* | 2.16 (1.81–2.49) | < 0.001 |
Stress RPP, bpm×mmHg | 9711 (8345–11512)* | 10147 (8362–12081)* | 8570 (7526–10113) | < 0.001 |
MPRuncorr | 2.04 (1.43–2.72)*† | 2.53 (2.03–3.14)* | 3.63 (3.08–4.40) | < 0.001 |
MPRcorr | 1.93 (1.38–2.42)* | 2.07 (1.58–2.69)* | 2.31 (2.00–2.79) | < 0.001 |
| Primary outcome: Composite of Death or HFH | |||
Predictor | Unadjusted HR (95% CI) | P value | Adjusted HR* (95%CI) | P value |
Rest MBFuncorr | 3.43 (1.52–6.84) | 0.001 | 3.97 (1.93–8.16) | < 0.001 |
Rest MBFcorr | 1.13 (0.52–2.31) | 0.749 | 1.29 (0.63–2.62) | 0.489 |
Stress MBF | 0.68 (0.47–0.99) | 0.045 | 0.90 (0.60–1.33) | 0.605 |
MPRuncorr | 0.65 (0.51–0.84) | 0.001 | 0.74 (0.57–0.95) | 0.024 |
MPRcorr | 0.75 (0.58–0.96) | 0.028 | 0.84 (0.65–1.07) | 0.179 |
